What is the expected output of the following code if existing_file is the name of a file located inside the working directory?

What is the expected output of the following code if the file named existing_text_file is a non-zero length text file located inside the working directory?

Which of the following snippets will execute without raising any unhandled exceptions? (Select answers)
A)

B)

C)

D)

Assuming that the snippet below has been executed successfully, which of the following expressions will evaluate to True? (Select two answers)
string = 'SKY' (:: -1)
string = string (-1)
Which of the following lambda function definitions are correct? (Select two answers)
Assuming that the following code has been executed successfully, select the expressions which evaluate to true.
(Select two answers.)

Which of the following lines of code will work flawlessly when put independently inside the add_new () method in order to make the snippet's output equal to [0, 1, 1] ? (Select two answers)

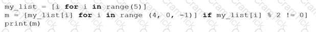
How many elements will the list1 list contain after execution of the following snippet?
Assuming that the following inheritance set is in force, which of the following classes are declared properly? (Select two answers)

What would you use instead of XXX if you want to check whether a certain ‘ key' exists in a dictionary called diet? (Select two answers)
II
if XXX:
print("Key exists")
Assuming that the following piece of code has been executed successfully, which of the expressions evaluate to True? (Select two answers)

If you want to transform a string into a list of words, what invocation would you use? (Select two answers)
Expected output:

What is the expected behavior of the following code?
x = 8 ** (1/3)
y = 2. if x < 2.3 else 3.
print(y)
Assuming that the code below has been executed successfully, which of the following expressions will always evaluate to True? (Select two answers)
import random
v1 = random. random()
v2 = random. random()
PCAP | PCAP-31-03 Questions Answers | PCAP-31-03 Test Prep | Certified Associate in Python Programming Questions PDF | PCAP-31-03 Online Exam | PCAP-31-03 Practice Test | PCAP-31-03 PDF | PCAP-31-03 Test Questions | PCAP-31-03 Study Material | PCAP-31-03 Exam Preparation | PCAP-31-03 Valid Dumps | PCAP-31-03 Real Questions | PCAP PCAP-31-03 Exam Questions